Скважинный насос IBO 3STM 20 кабель 20 метров
- 6 м³/час
- 2.7 м³/час
- 20 м
- 1 м












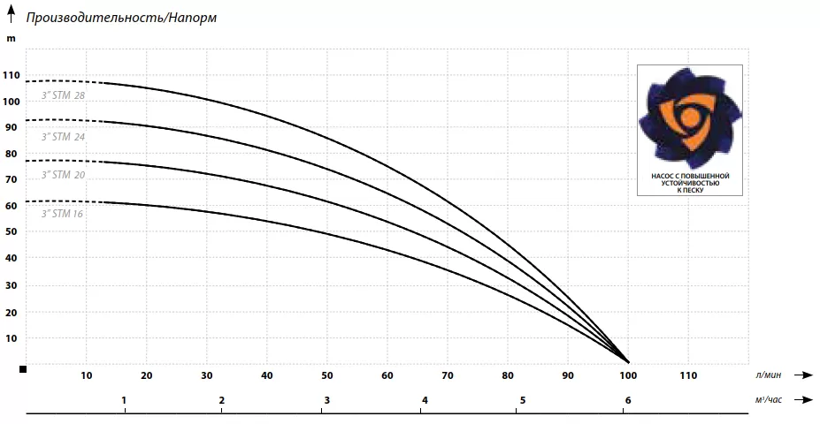
Графические характеристики
Многоступенчатые скважинный насосы диаметром 75 мм с повышенной устойчивостью к песку, рассчитанные на 3 и 4–дюймовые скважины. Насос IBO 3STM 20 кабель 20 метров обладает повышенной эффективностью к содержанию песка в перекачиваемой жидкости. Устойчивость к песку был достигнут благодаря использованию «плавающих лопастных колес» и выбору износостойких материалов. Скважинный насос IBO 3STM 20 кабель 20 метров обладает отменными характеристиками для насоса с небольшим диаметром. Максимальный напор насоса ИБО составляет 77 м, при этом максимальная производительность в пиковой точки показывает 6 м³/час. При таких напорно-расходных характеристиках мощность двигателя составляет всего 1100 Вт. Конденсатор насоса встроен в двигатель, благодаря чему электрическая установка намного проще, чем в случае насосов со стартовой коробкой. Насос оснащен тепловой защитой, установленной в обмотке двигателя. Насос комплектуется кабелем 20 м. Основным преимуществом насоса IBO 3STM 20 кабель 20 метров является чрезвычайно высокая производительность для насоса диаметром 75 мм со скоростью до 6 м³/час.
Графические характеристики IBO 3STM 20 кабель 20 метров
Условия работы насоса ИБО:
- Максимальная температура жидкости 35°C
- Максимальная температура окружающей среды 35°C
- Класс изоляции B
- Режим работы – непрерывный
- Безопасность – IP68
Материалы насоса ИБО:
- Корпус всасывания / нагнетания: латунь
- Корпус: нержавеющая сталь AISI 304
- Вал и ротор: нержавеющая сталь AISI 304
- Лопастное колесо: норил
- Диффузор: норил
- Механический сальник: Керамика/Sic/NBR
- Двигатель: с масляным охлаждением
- Частота вращения двигателя: 2850 об/мин
Применение насос IBO 3STM 20 кабель 20 метров
Водоснабжение односемейных домов и дачных домиков. Полив садов.Установка скважинного насоса IBO 3STM 20 кабель 20 метров
Купить скважинный насос IBO 3STM 20 кабель 20 метров в Пинске
Наш магазин предоставляет самые выгодные условия на покупку скважинного насоса IBO 3STM 20 кабель 20 метров! Вы можете получить свой насос в нашем магазине, воспользоваться пунктами самовывоза по всей стране или заказать доставку до дома. Если у вас возникли вопросы на которые нет ответов, наши сотрудники готовы помочь вам ответив на все интересующие вопросы. Оплатить насос вы можете безналичным или наличным платежом.
Доставка курьером в город Пинск
Доставка осуществляется на следующий день после оформления заказа.В день доставки до 13:00 с Вами связывается оператор компании перевозчика и уточняет время доставки.
- Время работы с 10:30 до 23:00
Стоимость
Цена доставки товара зависит от его веса и габаритов. Доставки в город Пинск осуществляться согласно графика. Стоимость и график поставки вы можете уточнить у оператора call-центра. Также стоимость доставки вы можете самостоятельно рассчитать в карточке товара. Пинск
|
Электронный блок COELBO SWITCHMATIC 3 |
244.70 руб. * 1 шт
|
| Стоимость набора | 1 194.97 руб. |